Follow us on Twitter ![]()
Question, remark ? Contact us at contact@myengineeringtools.com
| Section summary |
|---|
| 1. Formula to
calculate the compressor power required |
| 2. Usual values for
calculation |
| 3. Example of calculation |
| 4. Compressor power free Excel
calculation tool |
For 1 compressor stage of a perfect gas, the isentropic compression is the following :
Pis = 2.31*(k/(k-1))*(Tdis-Tsuct)/M*Qm

Equation 1 : simplified compression
power calculation formula
A compression is said isentropic when it is carried out by an ideal compressor, without friction, without internal leakage and while being perfectly insulated. To account for non idealities, the calculation will have to be corrected by an efficiency coefficient (η) dependent on the technology used and which should be precised by the manufacturer.

With :
Pis=Power (kW)
Tsuct=Temperature inlet compressor (K)
Tdischarge=Temperature outlet compressor (K)
M=Molar weight of gas (g/mol)
Qm=Compressor throughput (t/h)
k=Gas isentropic coefficient
>>> To know
more about this formula please follow this link <<<
One will note that a key unknown in the equation above is the discharge temperature. The discharge temperature Tdischarge can be determined thanks to an abacus or by calculation, for an isentropic compression, please have a look to this page.
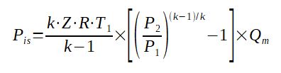
The following formula can be used for high compression ratio and high temperature ratios that prevent to assume the gas is perfect and its compressibility factor is ~1 :
Pis = (k*Z*R*T1)/(k-1)*[(P2/P1)(k-1)/k-1]*Qm

With : Pis=Power (kW)
Z = gas compressibility factor (can be defined on an Amagat diagram
by calculating the reduced pressure and reduced temperature of the
gas)
P1 = Pressure inlet compressor (kPa)
P2 = Pressure outlet compressor (kPa)
Qm=Compressor throughput (kg/s)
k=Gas isentropic coefficient
R = [8314/molecular weight (J/(kg.K))]/1000 = 8.314 /
molecular weight
>>> To know more about this formula please follow this link <<<
The power calculated must also be corrected by an efficiency coefficient given by the manufacturer of the compressor considered.
Also about compressor calculations on MyEngineeringTools.comCompressor Power formula explained !Reciprocating compressor capacity Temperature
rise in a compressor
|
Top 5 Most
Popular
1. Compressor
Power Calculation
2. Pump Power Calculation
3. Pipe Pressure
Drop Calculation
4. Fluid Velocity in pipes
5. Churchill Correlation
(friction factor)
Centrifugal compressors : η is calculated from the polytropic efficiency given by the manufacturer. A chart is then used to calculate the polytropic coefficient of the gas, then the discharge temperature calculated and then the actual power needed thanks to the formula 1 above.
For references of industrial compressors and discussions with experts, the reader can refer to the following company (no link with MyEngineeringTools.com) :
www.continental-industrie.com
A compressor has to deliver 2000 Nm3/h of air at 6 bar g, from air at atmospheric pressure and 20°c. The efficiency of the compressor is known and is 0.72.
Step 1 : calculate the mass flow rate
The compressor is to deliver 2000 Nm3/h of air. Normal conditions are here defined as 101325 Pa and 0°c [1], at this pressure gas ideality is mostly verified thus the specific gravity is PM/RT/1000 = 1.294 kg/m3. This gives a mass flowrate of 2000*1.294 = 2587 kg/h.
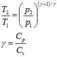
STEP 2 : calculate the discharge temperature
The discharge temperature for an isentropic compression can be calculated with :

In this case Tdischarge = (20+273.15)*((101325+6*100000)/101325)^((1.4-1)/1.4) = 509.5 K
Which gives 509.5 - 273.15 = 236.4c
STEP 3 : calculate the isentropic power requirement
Use the formula given above : Pis = 2.31*1.4/(1.4-1)*(236.4-20)/29*2587 / 1000 = 156 kW
STEP 4 : calculate the actual power requirement
The efficiency of the compressor must be taken into consideration
and is equal to 0.72 which gives a required power of 156/0.72 =
216.8 kW.
You can access a free compressor calculator Excel to make the
compressor power calculation explained above : Compressor
Power Calculator (click here)
Warning : this calculator is provided to illustrate the concepts mentionned in this webpage, it is not intended for detail design. It is not a commercial product, no guarantee is given on the results. Please consult a reputable designer for all detail design you may need.