Follow us on Twitter ![]()
Question, remark ? Contact us at contact@myengineeringtools.com
| Section summary |
|---|
| 1. Polytropic
compression : definition |
| 2. Polytropic
compression power calculation : step by step calculation
guide |
| 3. Usual values for calculation |
| 4. What about reciprocating compressors ? |
| 5. Example and Free Excel calculation tool |
The compression of gases in compressors is often idealized as isentropic, which means that there are no friction, no leakage of gas in between high and low pressure side, and that the compressor is perfectly insulated.
In reality this is of course not achieved which means that the discharge temperature is higher than for an isentropic compression at same compression ratio. As a consequence, at the same discharge temperature, the compression power transmitted to the fluid will be lower, which means that an actual compressor will require more power than the same isentropic compressor to reach the same pressure.
The polytropic efficiency is given by the manufacturer of the compressor. If you have an existing compressor or consider a new one, you can find such references on manufacturers datasheets.
If this is not available, you can approximate the polytropic efficiency of centrifugal compressors as the polytropic efficiency is linked to the flow at inlet of the compressor. The polytropic efficiency calculation formula is the following [1] :
Ep = 0.61+0.03*log(0.5885*Qv)
With :
Ep = polytropic efficiency (-)
Qv = gas flow at inlet conditions of compressor (m3/h)
(The coefficient 0.5885 is to convert m3/h to cfm)
The gas isentropic coefficient is the specific heat ratio of the gas, which means that the heat capacity at constant pressure is divided by the heat capacity at constant volume.
k = Cp/Cv
You can access the specific heat ratio of different gas on My Engineering Tools.
The specific heat ratio of the gas is used in the calculation of the power of an ideal compressor running in isentropic or adiabatic compression. However this ideal ratio is changing in a true centrifugal compressor for which the outlet temperature differs from the adiabatic one. The isentropic coefficient k must then be replaced by the polytropic coefficient n.
The relationship in between k and n is the following [1] :
(n-1)/n = (k-1)/k*1/Ep
n=1/[1-(k-1)/(k.Ep)]
With :
n = polytropic coefficient
k = isentropic coefficient
Ep = polytropic efficiency
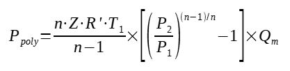
The following formula can be used to calculate the polytropic compression power for a centrifugal compressor :
Ppoly = (n*Z*R'*T1)/(n-1)*[(P2/P1)(n-1)/n-1]*Qm

Equation 1 : polytropic compression power calculation formula [Perry]
With :
Ppoly= Polytropic Compression Power (kW)
Z = gas compressibility factor (can be defined on an Amagat diagram
by calculating the reduced pressure and reduced temperature of the
gas)
R' = 8.314/M with M the gas molecular weight in g/mol
T1 = Temperature inlet compressor (K)
P1 = Pressure inlet compressor (kPa)
P2 = Pressure outlet compressor (kPa)
Qm=Compressor throughput (kg/s)
n=Gas polytropic coefficient
It is finally required to divide the compression power calculated at STEP 4 by the polytropic efficiency to calculate what will be the actual power consumed, considering the losses happening in the compressor during the compression process.
Pactual_centrifugal = Ppoly
/ Ep
For references of industrial compressors and discussions with experts, the reader can refer to the following company (no link with MyEngineeringTools.com) :
www.continental-industrie.comReciprocating compressors are usually cooled, which means that the discharge temperature is close to the isentropic discharge temperature. For these compressors, the isentropic power calculation is therefore relevant and can be used to calculate the reciprocating compressor power. It is divided by the global efficiency of the reciprocating compressor, which can be assumed ~0.75 in 1st approximation if the constructor value is not known.
Pactual_reciprocating = Pisentropic / ηglobal_reciprocating
With
Pactual_reciprocating = actual power required for a
reciprocating compressor (kW)
Pisentropic = isentropic power required for the
reciprocating compressor in the studied conditions (kW)
ηglobal_reciprocating = global efficiency of the
reciprocating compressor (-)
A compressor has to compress 2000 m3/h of air (air volumetric flow at inlet conditions) at 6 bar g, from air at atmospheric pressure and 20°c. The Engineer wishes to calculate the actual compression power to foresee for a centrifugal compressor.
Preliminary step : calculate the mass flowrate of gas
The compressor is to deliver 2000 m3/h of air sucked at atmospheric conditions and 20c. At this pressure gas ideality is mostly verified thus the specific gravity is PM/RT/1000 = 1.205 kg/m3. This gives a mass flowrate of 2000*1.205 = 2411 kg/h=0.6697 kg/s
The following formula can be used to estimate a centrifugal compressor polytropic efficiency when used under those conditions :
Ep = 0.61+0.03*log(0.5885*Qv) = 0.61+0.03*log(0.5885*2000) = 0.702
With :
Ep = polytropic efficiency (-)
Qv = gas flow at inlet conditions of compressor (m3/h)
For air, the isentropic coefficient k is well defined and equaled to 1.4
The relationship in between k and n is the following [1] :
(n-1)/n = (k-1)/k*1/Ep
n=1/[1-(k-1)/(k.Ep)] =
1/(1-(1.4-1)/(1.4*0.702)) = 1.686
With :
n = polytropic coefficientThe following equation is used to calculate the polytropic compression power required for the centrifugal compressor to bring 2000 m3/h or air at 20c to 6 bar g. At low pressure, Z is assumed to be equaled to 1 here.
Ppoly = (n*Z*R'*T1)/(n-1)*[(P2/P1)(n-1)/n-1]*Qm
Ppoly = (1.686*1*8.314/29*293.15)/(1.686-1)*[(700000/101325)(1.686-1)/1.686-1]*0.6697
Ppoly =165.7 kW
Pactual_centrifugal = Ppoly / Ep =
165.7*0.702 = 236 kW
You can access a free Excel calculation tool to make the compressor
power calculation explained above : Compressor
Power Calculator
Warning : this calculator is provided to illustrate the concepts mentioned in this webpage, it is not intended for detail design. It is not a commercial product, no guarantee is given on the results. Please consult a reputable designer for all detail design you may need.