Follow us on Twitter ![]()
Question, remark ? Contact us at contact@myengineeringtools.com
| Section summary |
|---|
| 1. Energy available calculation |
| 2. Outlet
temperature calculation |
| 3. Assumptions and approximations |
| 4. Gas expander energy available Excel calculator |
Energy is what power our modern society, and of course process industries which are at the source of all technological progress. Energy is however scarcer and thus more expensive that some decades ago. It becomes mandatory not to waste energy but use it at maximum wherever it is available. It is for example the case when a compressed gas is produced in factory. If there is no need for the gas to stay compressed it can be expanded.
However the expansion can be just done with a valve, in case all the energy will be lost, or it can be done with a gas expander (turbo-expander) which will allow to recover some of the energy. If a relatively high a regular flow of compressed gas is available it may then be interesting to install a gas expander that will then power another equipment (a compressor, an alternator...).
This page is explaining how to estimate the energy available that can be recovered by a gas expander.
Top 5 Most
Popular
1. Compressor
Power Calculation
2. Pump Power Calculation
3. Pipe Pressure
Drop Calculation
4. Fluid Velocity in pipes
5. Churchill Correlation
(friction factor)
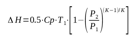
The energy available through expansion of the gas can be estimated thanks to the following formula :

With :
ΔH = Actual available energy (Btu/lb)
Cp = heat capacity at constant pressure (Btu/lb.F)
T1 = inlet temperature (R)
P1 = inlet pressure (Psi abs)
P2 = outlet pressure (Psi abs)
K = ratio of heat capacities
Cp/Cv
The temperature at the outlet of the gas expander can be calculated with the following equation :
With :
ΔH = Actual available energy (Btu/lb)
Cp = heat capacity at constant pressure (Btu/lb.F)
T1 = inlet temperature (R)
T2 = outlet temperature (R)
P1 = inlet pressure (Psi abs)
P2 = outlet pressure (Psi abs)
K = ratio of heat capacities Cp/Cv
The formula above are giving approximate values that can be used for example to determine if using a gas expander can make sense, but cannot be used for detailed design. For instance the formula for energy available is assuming an efficiency of 50% which may be different from a real gas expander. The calculation of outlet temperature is rough and something more detailed should be done especially to make sure that the dew point of the gas will not be reached (which could lead to mechanical damages if droplets are formed).
You can access a free calculator Excel to estimate the available
energy through gas expansion as explained above : Gas expander available energy Calculator
(click here)
Warning : this calculator is provided to illustrate the concepts mentionned in this webpage, it is not intended for detail design. It is not a commercial product, no guarantee is given on the results. Please consult a reputable designer for all detail design you may need.
Energy costs have risen sharply since the 2010s, making waste‑heat recovery a competitive advantage. When a process produces high‑pressure gas that later needs to be depressurised, a simple throttling valve discards the enthalpy. A turbo‑expander can convert a large portion of that enthalpy into shaft work, driving a compressor, generator, or pump.
Download the free Excel calculator
Enter inlet/outlet pressures, temperature, flow rate, and assumed efficiency (default 75 %). The sheet returns:

Axial turbo expander
Radial turbo expander
The ideal (isentropic) work per unit mass of gas is:
$$ W_{\text{iso}} = \frac{k}{k-1}\,R\,T_1\Bigl[1-\Bigl(\frac{P_2}{P_1}\Bigr)^{\frac{k-1}{k}}\Bigr] $$ where:Actual work accounts for mechanical and aerodynamic losses:
$$ W_{\text{real}} = \eta_{\text{exp}}\,W_{\text{iso}} $$ A first‑order assumption of \(\eta_{\text{exp}} = 0.75\) is common; later refinement uses manufacturer efficiency maps.From the energy balance:
$$ T_2 = T_1 - \frac{W_{\text{real}}}{C_p} $$ Check \(T_2\) against the gas dew‑point to avoid condensation[4](#ref-4).| Parameter | Value |
|---|---|
| k | 1.40 |
| Cp | 0.296 kJ kg⁻¹ K⁻¹ |
| Inlet pressure \(P_1\) | 10 bar |
| Outlet pressure \(P_2\) | 1 bar |
| Inlet temperature \(T_1\) | 300 K |
| Mass flow | 100 kg h⁻¹ |
| Isentropic work \(W_{\text{iso}}\) | 31 kW |
| Assumed η | 0.78 |
| Real work \(W_{\text{real}}\) | 24 kW |
| Ideal outlet temperature | 215 K |
| Real outlet temperature | 221 K |
Real plants rarely operate exactly at the design point. Use the \(U_2/C_o\) relationship to adjust efficiency for off‑design conditions[3](#ref-3):
| Item | Typical Value |
|---|---|
| Capital cost | $150–$250 per kW of shaft power |
| Electricity price (US) | $0.08 /kWh |
| Annual operating hours | 8 000 h |
| Annual energy saved | \(W_{\text{real}}\times 8 000\) kWh |
| Payback (years) | \(\displaystyle\frac{\text{CapEx}}{W_{\text{real}}\times 8 000\times 0.08}\) |
Using the sample 24 kW expander gives ≈ 1.5 GWh yr⁻¹ → ≈ $120 k yr⁻¹ → payback ≈ 2–3 years.
Source
[Hall] Rules of Thumbs for Chemical Engineers, Stephen M Hall, Elsevier, 2018, page 367