
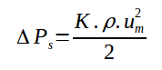
Equation 1 : pressure drop through a pipe singularity (valve, fitting...)

Equation 1 : pressure drop through all pipe singularities of a pipe section (valve, fitting...)
For compressible fluids, it is important to use the average velocity. If the pressure drop is too important and density and velocity change too much, the pipe section considered must be broken down in smaller sections to keep a good calculation accuracy.The values below are only valid in TURBULENT FLOW
Table 1 : K coefficient for calculation of pressure drop through valves and fittings
| Valves and Fittings | Opening | K coefficient |
| 90º elbow standard | - | 0.75 |
| 90º elbow long radius | - | 0.45 |
| 45º elbow standard | - | 0.35 |
| 45º elbow long radius | - | 0.2 |
| Coupling / Union | - | 0.04 |
| Gate Valve | Open | 0.17 |
| ¾ Open | 0.9 | |
| ½ Open | 4.5 | |
| ¼ Open | 24 | |
| Diaphragm Valve | Open | 2.3 |
| ¾ Open | 2.6 | |
| ½ Open | 4.3 | |
| ¼ Open | 21 | |
| Globe valve – plug disk | Open | 9 |
| ¾ Open | 13 | |
| ½ Open | 36 | |
| ¼ Open | 112 | |
| Angle Valve | Open | 2 to 4 |
| Ball Valve | Open | 0 |
| Close 5° | 0.05 | |
| Close 10° | 0.29 | |
| Close 20° | 1.56 | |
| Close 40° | 17.3 | |
| Close 60° | 206 | |
| Butterfly Valve | Open | 0 |
| Close 5° | 0.24 | |
| Close 10° | 0.52 | |
| Close 20° | 1.54 | |
| Close 40° | 10.8 | |
| Close 60° | 118 | |
| Swing check valve | - | 2 |
