Follow us on Twitter ![]()
Question, remark ? Contact us at contact@myengineeringtools.com
An horizontal tank is made of cylindrical shell and of 2 ends that can take different standard shapes. Many horizontal vessels are used in process industries, be it just to store water, or to hold chemicals in a road tanker for instance.

With :
D = tank diameter (m)
H = actual height of liquid in the tank (m)
z = tank head height (m)
L = length of the cylindrical shell (m)
The tank heads can have the following shapes :
This page is explaining how to calculate the volume in the tank as
a function of the level of liquid H.
Top 5 Most
Popular
1. Compressor
Power Calculation
2. Pump Power Calculation
3. Pipe Pressure
Drop Calculation
4. Fluid Velocity in pipes
5. Churchill Correlation
(friction factor)
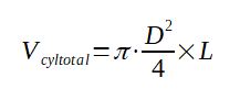
The total volume of a cylinder is given by the following formula :
Vcyl_total = π.D2/4*L
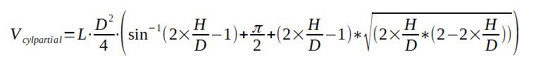
The actual volume in the cylinder actually depends on the height of liquid H in the tank. The partial volume filled can be calculated with the following equation :
Vcylpartial = L*D^2/4*(sin-1(2*H/D-1)+π/2+(2*H/D-1)*(2*H/D*(2-2*H/D))0.5)
| Elliptical | V
= π.D3/24 |
| Torispherical | V = 0.1D3 |
| Hemispheric | V = π.D3/12 |
The volume in the tank end depends on the standard shape.
| Elliptical | V
= 0.2618*H^2*(3*D/2-H) |
| Torispherical | V
= 0.2*H^2*(3*D/2-H) |
| Hemispheric | V
= 0.5236*H^2*(3*D/2-H) |
Vtotal = Vcylinder + 2*Vhead
(assuming both heads are identical)
You can download a calculator to compute the volume of a partially filled horizontal tank : Horizontal Tank volume Excel calculation tool (click here).
Warning : this calculator is provided to illustrate the concepts mentioned in this webpage, it is not intended for detail design. It is not a commercial product, no guarantee is given on the results. Please consult a reputable designer for all detail design you may need.