Follow us on Twitter ![]()
Question, remark ? Contact us at contact@myengineeringtools.com
| Section summary |
|---|
| 1. Condenser
definition |
| 2. Condenser
calculation procedure |
| 3. Free Excel condenser calculation tool |
A condenser aims at sufficiently cooling down a vapor, thanks to a cooling fluid, so that its state changes towards a liquid. Condensers can have different kind of design, including direct condensing which consists in contacting the vapor with the cooling fluid. This page is focusing however on condensers designed as shell - tube heat exchangers and installed in vertical or horizontal position. The vapor and the cooling fluid are not in contact and condensation can happen in the shell or in the tubes even if condensing in the shell is the most common case.
Condensers are very widely used in process industries : in food processing, refineries or even air conditioning. When having to generate a vacuum, condensers are installed to reduce the flow of vapor to suck and therefore increase the vacuum reached. It is a very energy demanding unit operation so most of the time cold fluid available in quantity such as water, or air, are used as cooling fluid to perform the condensation.
Note that the vapor to condense can be very varied and can include non condensable vapor such as air, which has a very strong influence on the performances of the condenser. The explanations given on this page focus however on the simpler case which is a pure susbtance to condense.
The following data must be defined in order to check the design, or size a condenser :
It is assumed that the vapor to condensate is in the shell side.
The heat flux can be calculated knowing the flowrate, the in and out temperatures, the specific heat of the fluid, and the latent heat of the fluid to condensate. If possible, it is easier to calculate the heat flux on the cold side as there is normally no phase change.
With
mc = mass flowrate on cold side (kg/s)
Cpc = specific heat of cold fluid
Tco = outlet temperature of cold side (K)
Tci = inlet temperature of cold fluid (K)
mh = mass flowrate of vapor to condense on hot side
(kg/s)
Cph1 = specific heat of vapor (J/kg/K)
Thi = inlet temperature of vapor to condense (K)
Thcond = condensation temperature of the pure vapor (K)
ΔHvap = latent heat of vaporization of the pure sustance
(J/kg/K)
Cph2 = specific heat condensed liquid (J/kg/K)
Tho = outlet temperature of hot side (K)
It is then possible to approximate the size of the heat exchanger by estimating the overall heat transfer coefficient H.
H for condensers is often in between 75 to 1100 kcal/h.m2.c = 0.1 to 1.3 kW/m2.K.
H = overall heat exchange coefficient (kW/m2.K)
S = area of the heat exchanger (m2)
ΔTml
(K)
The value of S can thus be calculated, as a 1st approximation of the heat exchanger size.
It is assumed that the cooling fluid, thus the fluid that is not submitted to a change of state, is located in the tubes. As a consequence, a general relation correlating the Nusselt number to the Reynolds and Prandtl number can be used for assessing the heat transfer coefficient :
Nu = (htube.di)/λc
With :
Nu = Nusselt number, calculated by the correlations below
htube = heat transfer coefficient on tube side (W.m-2.K-1)
λc = thermal conductivity of the cooling fluid (W/(m.K))
(m⋅kg⋅s−3⋅K−1)
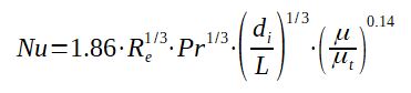
The following correlation is from Sieder and Tate
Nu = 1.86.Re1/3.Pr1/3.(di / L)1/3.(μ/μt)0.14
With :
Re = Reynolds number
Pr = Prandtl number = Cp.μ / λ
di = internal diameter of the tube in m
L = length of the tube in m
μ = viscosity of the fluid at bulk temperature in Pa.s (kg/m/s)
μt = viscosity of the fluid a wall temperature in Pa.s
(kg/m/s) - please refer to paragraph 2.6.1 for the calculation of Twall
Cp = specific heat of the fluid in J/kg/K (m2/s2/K)
λ = thermal conductivity of the fluid (W/(m.K)) (m⋅kg⋅s−3⋅K−1)
The following correlation is from Colburn.
Nu = 0.027.Re0.8.Pr1/3.(μ/μt)0.14
The Reynolds number can be calculated as a function of the mass flow, number of tubes, number of passes, tube diameter.
Re = G.di / μ
G = m / [(Nt/nt).π.di2/4]
With
G = mass flux in the tube in kg/s/m2
ṁ = mass flow in the heat exchanger on the tube side in kg/s
Nt = number of tubes in the shell tube heat exchanger
nt = number of passes tube in the shell tube heat
exchanger
μ = viscosity of the fluid at bulk temperature in Pa.s (kg/m/s)
The calculation of the heat exchange coefficient on the shell side depends on the orientation of the condenser, vertical or horizontal, and on the flow regime in the shell, laminar or turbulent.
Vertical tubes
The Reynolds number is, for the liquid condensate, expressed as :
Re = (4*Gv) / μ
With :
Re = Reynolds number (-)
Gv = mass flowrate of condensate per unit of length of
tube (kg/s/m) = mc / (π*do*Nt)
μ = viscosity of the condensate (Pa.s) - please refer to paragraph
2.6.1 for the calculation of Tfilm
mc = mass flowrate of vapor (= condensate if all the
vapor is condensed) (kg/s)
do = tube outside diameter (m)
Nt = number of tubes in the shell (-)
Horizontal tubes
The Reynolds number is, for the liquid condensate, expressed as :
Re = (4*Gh) / μ
With :
Re = Reynolds number (-)
Gh = mass flowrate of condensate per unit of length of
tube (kg/s/m) = mc / (L*Nt1/4)
μ = viscosity of the condensate (Pa.s) - please refer to paragraph
2.6.1 for the calculation of Tfilm
mc = mass flowrate of vapor (= condensate if all the
vapor is condensed) (kg/s)
L = tube length (m)
Nt = number of tubes in the shell (-)
To be noted that, for horizontal condensers, the flow regime of the condensate in the shell is actually laminar, the calculation above is thus not really necessary
Vertical tubes
The heat transfer coefficient on the shell side, for vertical tubes, with the condensate in laminar flow can be expressed as :
hshell = hshellv = 1.47*[λ3*ρ2*g/μ2]1/3[(4*Gv) / μ]-1/3
With
hshellv = heat exchange coefficient on the shell side
for vertical tubes (W.m-2.K-1)
λ = thermal conductivity of the condensate fluid (W/(m.K)) (m⋅kg⋅s−3⋅K−1)
- please refer to paragraph 2.6.1 for the calculation of Tfilm
ρ = density of the condensate fluid (kg/m3)
g = 9.81 m.s-2
μ = viscosity of the condensate (Pa.s) - please refer to paragraph
2.6.1 for the calculation of Tfilm
Gv = mass flowrate of condensate per unit of length of
tube (kg/s/m) = mc / (π*do*Nt)
Horizontal tubes
hshell = hshellh = 1.51*[λ3*ρ2*g/μ2]1/3[(4*Gh) / μ]-1/3
With
hshellh = heat exchange coefficient on the shell side
for horizontal tubes (W.m-2.K-1)
λ = thermal conductivity of the condensate fluid (W/(m.K)) (m⋅kg⋅s−3⋅K−1)
- please refer to paragraph 2.6.1 for the calculation of Tfilm
ρ = density of the condensate fluid (kg/m3) - please refer to
paragraph 2.6.1 for the calculation of Tfilm
g = 9.81 m.s-2
μ = viscosity of the condensate (Pa.s) - please refer to paragraph
2.6.1 for the calculation of Tfilm
Gh = mass flowrate of condensate per unit of length of
tube (kg/s/m) = mc / (L*Nt)
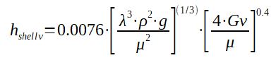
Vertical tubes
hshell = hshellv = 0.0076*[λ3*ρ2*g/μ2]1/3[(4*Gv) / μ]0.4
With
hshellv = heat exchange coefficient on the shell side
for vertical tubes (W.m-2.K-1)
λ = thermal conductivity of the condensate fluid (W/(m.K)) (m⋅kg⋅s−3⋅K−1)
- please refer to paragraph 2.6.1 for the calculation of Tfilm
ρ = density of the condensate fluid (kg/m3) - please refer to
paragraph 2.6.1 for the calculation of Tfilm
g = 9.81 m.s-2
μ = viscosity of the condensate (Pa.s) - please refer to paragraph
2.6.1 for the calculation of Tfilm
Gv = mass flowrate of condensate per unit of length of
tube (kg/s/m) = mc / (π*do*Nt)
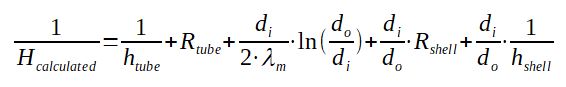
The heat transfer coefficient is the sum of the convection inside the tube, the conduction through the tubes, the convection outside the tube, also considering the fouling resistances on both sides of the tube. The actual overall heat transfer coefficient is thus :
Hcalculated = overall heat transfer coefficient (W.m-2.K-1)
htube = heat transfer coefficient on tube side (W.m-2.K-1)
Rtube = fouling resistance on tube side (K.W-1.m-2)
hshell = heat transfer coefficient on shell side (W.m-2.K-1)
Rshell = fouling resistance on shell side (K.W-1.m-2)
di = tube inside diameter (m)
do = tube outside diameter (m)
λm = thermal conductivity of the material of the tubes
(W.m-1.K-1)
In order to calculate properly the overall heat exchange temperature, it is required to know what is the actual temperature of the condensing liquid on the tube where the liquid is making a thin film. In order to approximate this temperature, the following calculation can be done :
Tfilm = (Thcond+Twall)/2
With :
Tfilm = temperature of the film of condensed liquid on
the tube (K)
Thcond = temperature of the vapor = condensation
temperature of the vapor (K)
Twall = wall temperature of the tube (K)
The temperature Twall of the tube can be calculated by :
With :
Thcond = temperature of the vapor = condensation
temperature of the vapor (K)
Twall = wall temperature of the tube (K)
htube = heat transfer coefficient on tube side (W.m-2.K-1)
hshell = heat transfer coefficient on shell side (W.m-2.K-1)
di = tube inside diameter (m)
do = tube outside diameter (m)
Tf = average temperature of the cooling fluid (K) = (Tci+Tco)/2
Tco = outlet temperature of cold side (K)
Tci = inlet temperature of cold fluid (K)
It is actually an iterative process. Indeed, at the beginning of the calculation the film temperature is not known. To get a 1st approximation and start the calculation it can be assumed for example that htube = hshell. The procedure is then :
It is then required to compare H calculated with H assumed.
If Hcalculated = Hassumed, the calculation is valid, the size of the heat exchanger, with the total heat exchange area S is correct.
If Hcalculated ≠ Hassumed, then the calculation needs to be run again, this time using Hassumed as starting point, or, if values are really far, changing the design of the heat exchanger size / design and running it again.
The design defined in step 6 is only valid if the pressure drop on both sides is less than the allowable pressure drop. If yes, the design can be kept, if not, some design choices such as the size of the tube, number of tubes... On the tube side, the pressure drop can be calculated with the same formula as for a standard shell tube heat exchanger.
On the shell side, the vapor pressure drop is usually very low.
Even if the design done satisfies the process conditions, it may be possible to improve the design by making it less costly, more compact... the design procedure can then be re-run for the basic design calculated by changing the number of tubes, diameter of tube, tube length...etc...
The procedure above will be helpful to get an idea but cannot be used to such details. It should be done with a specialized company. Detail design and construction drawing must always be done with the support of such a company.
You can access a free Excel calculation tool to size a shell-tube condenser, or control the size of an existing condenser, as explained above : Condenser design calculation tool
Warning : this calculator is provided to illustrate the concepts mentioned in this webpage, it is not intended for detail design. It is not a commercial product, no guarantee is given on the results. Please consult a reputable designer for all detail design you may need.
