Calculate the required flow coefficient Cv of control valves thanks to this Excel calculation tool.
Chose the sheet that corresponds to the service the valve will be submitted to (Liquid, Gas, Steam) and simply input the valve data and the flow data - flowrate, pressure, temperature when relevant - then the tool will calculate the Cv required for getting the required flow at the required pressure drop. The tool can also be used to calculate the flow through the valve knowing the Cv and the pressure drop. Simply make a goal seek on the Cv varying the flowrate.

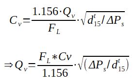
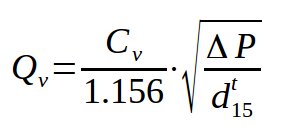
The formula used by the calculator are the following :
| Flow | SI units | US units |
| Liquid - Subcritical flow | ![]() |
|
| Liquid - Critical flow | ||
| Gas |
A complete explanation of the fomula can be read on this page : Valves Cv and Kv Control valves Cv Kv flow coefficients for valve sizing
You can access here the Excel calculation tool to calculate the required Cv of a valve knowing the flow conditions. Please note that this tool is to illustrate Engineering concept but is not for detail design and construction purposes.
Link to Excel calculation tool
Warning : this calculator is provided to illustrate the concepts mentioned in this webpage, it is not intended for detail design. It is not a commercial product, no guarantee is given on the results. Please consult a reputable designer for all detail design you may need.
