Follow us on Twitter
![]()
Question, remark ? Contact us at contact@myengineeringtools.com
The terminal velocity of a particle in a fluid is the maximum speed that can reach a particle free falling when the gravity forces and the drag forces + the upthrust (Archimedes principle) equal. The calculation of the terminal velocity of a particle is of interest in many unit operations such as the sedimentation of a slurry after liquid-solid mixing, the separation in a cyclone or in a fluid bed.
It should be noted that the terminal velocity of a single particle is different than the terminal velocity of a particle among many others as it is the case in suspensions for example, the presence of other particles indeed hinders the settling of the particle and thus reduces its terminal velocity. This settling velocity in the presence of dense concentration of other particles is called the hindered velocity and can be used to determined at which rate will sediment a suspension.

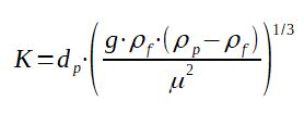
The drag coefficient K can be calculated thanks to the following formula [Mc Cabe]:
K = dp.[(g*ρf*(ρp-ρf))/μ2](1/3)
The coefficients are tabulated according to the value of K. Please refer to the table below to determine b and n.
| Flow Regime |
K |
b |
n |
| Stokes | K<3.3 | 24 | 1 |
| Intermediate | 3.3<K<43.6 | 18.5 | 0.6 |
| Newton | 43.6<K<2360 | 0.44 | 0 |
The terminal velocity (or settling velocity) can be calculated thanks to the following equation :
Ut = [(4*g*dp(1+n)*(ρp-ρf))/(3*b*μn*ρf(1-n))]1/(2-n)
With :
Ut = terminal velocity of single particle (not hindered)
(m/s)
b and n = coefficient determined at step 3
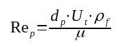
To check the validity, calculate the Reynolds particle :
The particle Reynolds number can be calculated with the following formula :
Rep = dp.Ut.ρf/μ
For a solid in a fluid : Rep must be < 150000
For a liquid in another liquid : Rep must be < 500
For a liquid in a gas : Rep must be < 100
A high density of particles settling is influencing the terminal velocity of particles, for example in the case of a liquid-solid suspension. The velocity is then called hindered settling velocity. It is possible to calculate it by 1st determining the volume fraction of solids in suspension, then calculating a Reynolds number for the settling particles.
The particle Reynolds number can be calculated with the following formula :
Rep = dp.Ut.ρf/μ
With :
Rep = Reynolds particle (-)
dp = particle diameter (m)
Ut = terminal velocity of the single particle (not
hindered) (m/s)
ρf = fluid density (most probably a liquid) (kg/m3)
μ = fluid viscosity (Pa.s)
The parameter m can be determined depending on the value of Rep.
| Rep | m |
| Rep < 0.5 | 4.65 |
| 0.5 < Rep < 1300 | 4.375*Rep-0.0875 |
| Rep > 1300 | 2.33 |
The hindered settling velocity can then be calculated, knowing the volumic fraction ε of solid in the suspension and using the following formula to correct the terminal velocity of a single isolated particle [Perry] :
Ut' = Ut*(1-ε)m
With :
Ut' = hindered settling velocity of particles in the
suspension (m/s)
Ut = settling velocity of a single isolated particle
calculated at paragraph 2.3
ε = volume fraction of solids in suspension (-)
m = determined at STEP 2
Please access to this page to download the free xls calculation tool for Churchill correlation.
Warning : this calculator is provided to illustrate the concepts mentioned in this webpage, it is not intended for detail design. It is not a commercial product, no guarantee is given on the results. Please consult a reputable designer for all detail design you may need.

Source
[McCabe] Unit Operations of Chemical Engineering 7th edition, page 136
[Perry] Perry's Chemical Engineer's Handbook, Section 6 Fluid and Particle Dynamics, page 6-53, McGraw-Hill, 2008