Menu

Flow regimes : laminar to turbulent

Fluid flow regimes in fluid mechanics explained

Question or remark ? Please contact us at contact@myengineeringtools.com


1. Definitions
2. Flow regimes and Reynolds number limits


1. Introduction

What is a flow regime in fluid mechanics ?

The nature of the flow in a pipe is changing at constant flow, according to the velocity of the liquid in the pipe. This phenomena has been shown by Reynolds in the 19th century.

Reynolds used a transparent pipe to inject a colorant in a flow of water.

At low water velocity, the diffusion of the colorant was perfectly straight (state 1). At a certain velocity, several veins of fluid could be observed (state 2) while past a certain speed, the colorant was mixing immediately in eddies with the water, over the whole pipe section (state 3).

Fluid flow regimes in fluid mechanics

This simple experience allows to highlight the different flow regimes that can be found in a pipe

  • (state 1) is LAMINAR flow
  • (state 2) is INTERMEDIATE flow
  • (state 3) is TURBULENT flow

Reynolds went on in his studies to propose an adimensional number to represent the nature of the flow in a pipe, the Reynolds number.

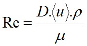
Reynolds number formula

The flow regime is dependent on : the fluid velocity, the pipe diameter, the volumetric mass of the fluid and the viscosity of the fluid. Higher velocity will tend to make the flow more turbulent, while higher viscosity will tend to make it more laminar.

2. Flow regime and Reynolds number

According to the Reynolds number value, the usual limits for a flow in pipes are :

Re<2100 : laminar regime
2100<Re<4000 : intermediary regime
Re>4000 : turbulent regime